近日,在庄松林院士指导下,永利官网光电学院张大伟教授领导的超精密光学制造团队成员、特聘教授禹德朝在国际光学顶级期刊《光:科学与应用》(Light: Science & Applications)(影响因子17.782)上发表了题为“一个离子捕获所有特性:基于Gd3+的高精度宽温区间玻尔兹曼型温度测量”(“One ion to catch them all: Targeted high-precision Boltzmann thermometry over a wide temperature range with Gd3+” [2021, 10: 236])的研究成果,该研究实现了30到800K极宽温度变化范围内的精确测量。


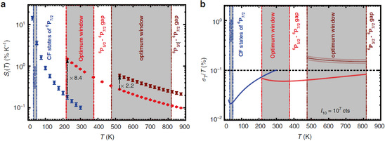
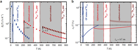
图为Gd3+6PJ多级荧光玻尔兹曼温度测量特性及其宽温区间的最佳性能评估
当代纳米医疗、光电子器件的小型化和高度集成化、精细化工等发展要求下,极宽温度、高度敏感、稳定、可重复性非接触无损微纳米尺寸范畴的温度测量是一个亟待研究的课题,有着极其重大的应用价值。基于镧系离子4f n能级发光比率测温技术是一种新兴的非接触无损测温技术,具有高的时空分辨率,其设计及应用通常是基于玻尔兹曼定律所控制的具有一定能带隙的两个能级间的热耦合,如经典的Er3+离子2H11/2-4S3/2能级间隔约为750-800cm-1。事实上,较低的环境温度使两个激发态能级间的热平衡难以实现,较高的温度虽有利于两个激发态的热平衡,但只能获得较低的相对测温灵敏度。基于双激发态能级相关的玻尔兹曼型温度计只可在一个有限的温度范围内实现较精确的温度测量(取决于能级间隔宽度大小)。

三激发能级玻尔兹曼型荧光温度测量模型和Pr3+ → Gd3+紫外上转换发光示意图
“超精密光学制造团队”张大伟教授、禹德朝教授联合荷兰乌得勒支大学、德国杜塞尔多夫大学、华南理工大学和聊城大学,将玻尔兹曼测温的概念与技术原理扩展到两个以上的激发态,建立和完善三能级玻尔兹曼测温模型与理论,并提供定量指南,将多个激发态之间的能隙选择与不同温度区间内的激发态能级热耦合联系起来。通过这种方法,可以基于同一系统,实现了极宽温度范围内高灵敏度和高精度的非接触温度测量。
科研人员用燃烧法合成了YAl3(BO3)4: Pr3+, Gd3+发光粉,其在450 nm蓝光激发Pr3+作用下,高效上转换发射紫外光(~290-320 nm)。这些紫外光来自于Gd3+激活离子6PJ激发态能级到基态8S7/2能级的辐射跃迁。科研人员创造性地基于Gd3+ 6PJ能级的晶体场分裂能级和自旋轨道分裂能级来构建三激发能级玻尔兹曼模型,实验例证了上述三能级玻尔兹曼温度响应模型,实现了30到800K极宽温度变化范围内的精确测量:在30K时,其相对灵敏度高达11.6% K-1,远高于常规的1%K-1阈值要求;同时在所有温区窗口,都可实现不确定性小于0.2%的高精度温度测量。需特别指出的是,这种蓝光紫外上转换荧光粉材料很容易被价格低廉且功率强大的450nm蓝色LED激发;其激发和发射波段可有效避免最高温度下黑体辐射影响,实现了零背景发光测温,在纳米医疗、新型光电子器件等领域具有极大的实际应用价值。
论文链接:https://www.nature.com/articles/s41377-021-00677-5
供稿:光电学院








