——永利集团304am官方入口建校114周年校庆日校友活动安排
2020年10月31日,永利集团304am官方入口将迎来建校114周年校庆日。鉴于当前防控新冠肺炎疫情形势,本年度不再安排校友集中返校。为进一步联络校友感情、增强校友活力、凝聚校友力量、传承校友文化,学校定于2020年10月31日(星期六)举办“共庆母校生日,云端遥寄祝福”永利集团304am官方入口建校114周年校庆日校友系列活动,诚挚邀请广大校友通过线上线下多种方式重拾母校记忆,共祝母校生日,畅谈合作,再叙深情。
为了做好返校当天线上线下校友活动的组织和接待工作,现将有关事项通知如下:
一、活动时间:2020年10月31日(星期六)全天
二、活动地点:永利集团304am官方入口军工路校区、复兴路校区
三、参加对象:海内外师生、校友
四、主题活动安排
(一)学校校庆活动

(二)学院校庆活动

1、尚理校友讲坛、校友论坛、沙龙

2、校友返校活动

3、校友分会理事会、教育基金活动


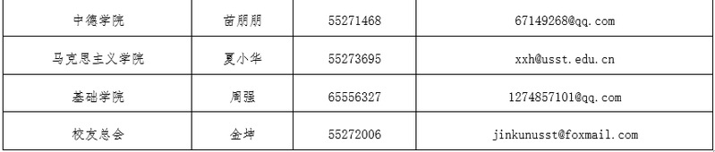
五、学校校友联络员一览表


六、注意事项
1、线下活动请注意控制规模,严格遵守防疫有关要求和学校规定及时向保卫处报备。
2、返校期间,校友往返路费、食宿费自理,10月31日校庆当天由校友工作联络处和各学院提供食堂餐券。
3、为使本次返校活动内容更加丰富,欢迎广大师生校友就校友活动安排提出建议,欢迎各学院、地方、行业校友会组织、承办各类线上线下校友活动。
我们热切期盼校友们线上线下相聚母校,向昨天的青春致敬,为明天的事业奋斗,共同谱写永利集团304am官方入口的锦绣华章!
校友工作联络处(校基金会办公室合署)
2020年10月








